二极管型非制冷红外焦平面中二极管结构优化研究

Optimizing Diode Structure in Uncooled Infrared Focal Plane Array

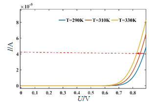
  • 摘要: 为适应非制冷红外探测器高空间分辨率的发展趋势,非制冷红外焦平面阵列作为非制冷红外探测器的核心部件不断向大阵列、小像素方向发展。本文针对二极管型非制冷红外焦平面阵列,理论分析了敏感元件二极管对读出电路以及器件性能的影响,在确定二极管最佳工作电流的同时,提炼出二极管结构中串联个数以及结面积为主要性能影响因素。基于此,设计了p+n-pn-n+p三合一二极管,并将其与传统二极管、回型二极管、p+n-n+p二合一二极管、以及由p+n-n+p二合一二极管直接拓展得到的两种三合一二极管进行了对比考察,研究发现6种结构中p+n-pn-n+p三合一二极管在相同尺寸下拥有最多的二极管串联数量且结面积相对最大;进而利用Sentaurus TCAD仿真,验证了在同一整体尺寸下,p+n-pn-n+p三合一二极管的电压温度系数分别约为p+n-n+p二合一二极管,及在其基础上直接拓展得到的两种三合一二极管的1.5倍,为回型二极管与传统二极管的2.6倍、3.7倍。证明了在小像素下p+n-pn-n+p三合一二极管性能最优,且在其基础上拓展可得到N合一二极管能进一步优化器件的性能。

     

    Abstract: To adapt to the development trend of high-spatial-resolution of uncooled infrared detectors, the uncooled infrared focal plane array (IR FPA), which is the core component of uncooled infrared detectors, is constantly developing towards larger arrays and smaller pixels. Aiming at the diode-type IR FPA, this paper theoretically analyzes the influence of the sensitive element diode on the readout circuit and device performance. While determining the best operating current of the diode, the number of series connected in the diode structure and junction area are the leading performance factors. Based on this conclusion, a p+n-pn-n+p 3-in-1 diode was designed and combined with traditional diodes, "well"-shape diodes, p+n-n+p 2-in-1 diodes, and two 3-in-1 diodes obtained by the direct expansion of p+n-n+p 2-in-1 diodes, which were compared and investigated. The study found that the p+n-pn-n+p 3-in-1 diodes of the six structures had the most significant number of diodes in series under the same size, and the relative junction area was the largest. Using Sentaurus TCAD simulation, it was verified that under the same overall size, the voltage temperature sensitivity (TCV) value of the p+n-pn-n+p 3-in-1 diodes is approximately that of the p+n-n+p 2-in-1 diode, and two types diode of 3-in-1 obtained by direct expansion on the p+n-n+p 2-in-1 diode was 1.5 times, which is 2.6 times and 3.7 times the "well" shape diode and traditional diode, respectively. It is proved that the performance of the p+n-pn-n+p 3-in-1 diode is the best under small pixels, and the expansion of the N-in-1 diode can further optimize the device performance.

     

/

返回文章
返回