线激光扫描热成像无损检测参数有限元仿真分析

Finite Element Simulation Analysis of Nondestructive Testing Parameters in Line Laser Scanning Thermal Imaging

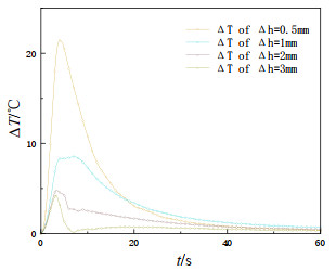
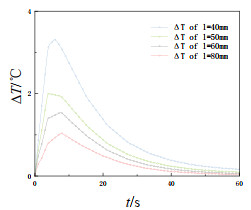
  • 摘要: 为进一步研究线激光扫描红外热成像无损检测技术,探究检测过程中可调参数及被检材料参数对热成像结果的影响,以获取最佳缺陷检测效果。本文使用COMSOL软件建立线激光扫描碳纤维复合材料的有限元分析模型,选取缺陷中心处及无缺陷处表面最大温差作为衡量检测效果的特征量,分析线激光长度、缺陷大小及缺陷深度对CFRP(Carbon Fibre Reinforced Plastics)热成像结果的影响规律,并分别对3个参数与检测效果的关系进行拟合。研究可为搭建激光扫描热成像检测系统和制定准确可靠的检测标准提供参考。

     

    Abstract: To further study the nondestructive testing technology of line laser scanning IR thermography, the effects of adjustable parameters and tested material parameters on the thermal imaging results was explored to obtain the best defect detection results. COMSOL software was used to establish a finite element analysis model of line laser scanning carbon fiber composite materials, and the maximum surface temperature difference between the defect center and non-defect area was selected as the characteristic quantity to measure the detection effect. The influence of the linear laser length, defect size, and defect depth on the thermal imaging results of carbon fiber reinforced plastics (CFRP) was analyzed, and the relationship between the three and the detection effect was fitted. This study provides a reference for the establishment of a laser scanning thermal imaging detection system and accurate and reliable detection standards.

     

/

返回文章
返回