基于GLMB滤波的复杂场景下红外弱小目标自适应跟踪算法

An Adaptive Tracking Algorithm for Infrared Dim Small Targets in Complex Scenes Based on GLMB Filter

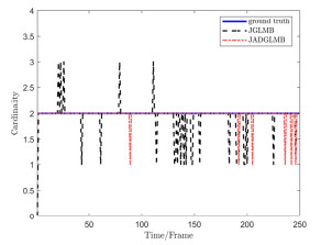
  • 摘要: 针对红外弱小目标在复杂场景下受到漏检和杂波影响,导致跟踪不连续甚至失效的问题,本文提出一种红外弱小目标自适应跟踪算法。在预处理阶段,为了减少不必要的计算,首先定义一种衡量图像复杂度的算法。然后该算法通过计算红外图像多个特征得到场景复杂度来确认场景类型,再根据场景类型选取对应的检测算法提取目标候选位置、灰度以及局部直方图等特征建立对应的量测模型与似然函数。在目标跟踪阶段,为了自适应地匹配广义标签多伯努利(Generalized Labeled Multi-Bernoulli, GLMB)滤波器的滤波参数,在GLMB的基础上提出一种适应视频图像的新生算法进行航迹起始;针对红外图像序列目标检测概率未知的情况,将未知检测概率的基数化概率假设密度(Cardinality Probability Hypothesis Density, CPHD)滤波器集成到GLMB中实时估计目标检测概率以提升跟踪精度。仿真结果表明,所提出算法能有效地排除量测漏检和虚警的干扰,跟踪不同红外复杂场景下的弱小目标。

     

    Abstract: In this study, we propose a robust adaptive tracking algorithm for infrared dim objects that addresses the problem of tracking discontinuities and failures caused by missed detections and clutter in complex scenes. In the pre-processing stage, an algorithm that measures the image complexity eliminates unnecessary calculations. This algorithm determines the scene type by calculating multiple features of the infrared image to obtain the scene complexity, and then selects the corresponding detection algorithm to extract the target candidate location, grayscale and local histogram features. Subsequently, a measurement model and likelihood function are established based on the scene type. In the tracking stage, to flexibly match the filtering parameters of the generalized labeled multi-Bernoulli (GLMB) filter, an adaptive algorithm suitable for video image distribution is proposed for track initiation. Aiming at the unknown detection probability of an infrared image sequence, a cardinality probability hypothesis density (CPHD) filter was integrated into the GLMB to estimate the detection probability of the target in real time, thereby improving the accuracy of the tracker. The simulation results show that the proposed algorithm can effectively track small infrared objects in different complex scenarios.

     

/

返回文章
返回