nBn结构长波红外碲镉汞器件优化设计

Optimized Design of nBn LWIR HgCdTe Devices

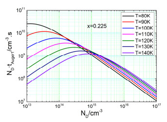
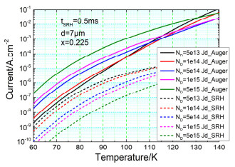
  • 摘要: 分析了Type-Ⅰ型能带对nBn结构碲镉汞器件性能的影响。通过理论计算获得了势垒层组分、掺杂浓度与能带带阶的关系,确定了nBn结构长波器件吸收层掺杂浓度与暗电流的关系。优化了nBn结构长波红外碲镉汞器件的掺杂浓度、势垒层与吸收层之间的组分过渡,建立了二维器件仿真模型并对nBn结构长波红外碲镉汞器件的能带结构进行了计算,结果表明器件结构参数的优化可以有效降低器件工作所需的开启电压,同时在吸收层内几乎不会形成耗尽区,从而有效抑制SRH产生-复合电流及隧穿电流。计算了器件结构参数优化后的长波红外碲镉汞nBn器件暗电流的变温特性,器件工作温度达到110 K以上。为高性能势垒结构长波红外碲镉汞器件的研制提供了理论依据。

     

    Abstract: In this study, the effect of the type-Ⅰ band on the performance of HgCdTe-based nBn devices was analyzed theoretically. A theoretical calculation of the relationship between the composition and doping concentration of the barrier layer and the band offset was obtained, and the relationship between the doping concentration of the absorption layer and the dark current of nBn LWIR HgCdTe devices was determined. Both the doping concentration and composition gradient between the barrier and absorption layers of nBn LWIR HgCdTe devices were optimized. A two-dimensional device simulation model was established, and the band structure of nBn LWIR HgCdTe devices was calculated. The results show that optimization of the device structure parameters effectively reduced the turn-on voltage required for device operation, while almost no depletion region was formed in the absorption layer, which effectively inhibited the SRH generation-recombination current and tunneling current. In this study, we also calculated the temperature-dependent dark current of optimized nBn LWIR HgCdTe devices; the operating temperature of the device was above 110 K. This study establishes a theoretical basis for developing high-performance barrier-structured LWIR-HgCdTe devices.

     

/

返回文章
返回