退火处理对锑化铟MIS器件C-V特性的影响

Effect of Annealing on C-V Characteristics of InSb Metal-Insulator-Semiconductor Devices

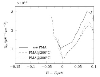
  • 摘要: 采用原子层沉积技术制备Al2O3薄膜作为InSb材料介电层,制备了MIS器件,研究了金属化后不同退火温度对界面特性的影响。利用C-V测试表征了MIS(metal-insulator-semiconductor)器件的界面特性,结果表明Al2O3介电层引入了表面固定正电荷,200℃和300℃退火处理可有效减小慢界面态密度,利用Terman法得到了禁带界面态密度分布,表明200℃退火可使禁带中央和导带附近的界面态密度显著减小。同时文章对C-V曲线滞回的原因进行了分析,认为Al2O3介电层中离界面较近的负体陷阱电荷是主要影响因素。实验证明了200℃~300℃的退火处理可有效改善InSb/Al2O3界面质量。

     

    Abstract: An Al2O3 film was prepared as a dielectric layer for an InSb material via the atomic layer deposition technique, the MIS device was developed, and the effects of annealing temperature on the post-metallization interfacial characteristics were investigated. Moreover, the interface of the MIS device was characterized using the C-V test. The results indicate that the Al2O3 dielectric layer introduced surface-fixed positive charges, and annealing processing at 200 and 300℃ can effectively reduce the slowing density. Furthermore, Terman's method can be used to obtain the interface states density distribution. This indicates that 200℃ annealing can significantly decrease the interfacial density close to the center of the bandgap and the conduction band. Additionally, negative charges being trapped near the interface of the Al2O3 dielectric layer is found to be the main cause of C-V curve hysteresis. Experiments prove that an annealing process at 200℃−300℃ can effectively improve the InSb/Al2O3 interface quality.

     

/

返回文章
返回