基于摩擦伺服跟踪模型的自抗扰控制策略研究

Active Disturbance Rejection Control Strategy Based on a Friction Servo Tracking Model

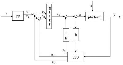
  • 摘要: 针对摩擦非线性扰动和外部干扰影响光电稳定平台跟踪性能的问题,提出了一种基于Elastoplastic摩擦模型的自抗扰控制方法。首先,建立了基于Elastoplastic摩擦的伺服系统空间状态模型;其次,利用Elastoplastic模型前馈补偿系统中的摩擦非线性,减小量测噪声对系统的影响,并初步抑制摩擦力矩对系统的干扰,然后,基于该模型设计摩擦补偿与自抗扰控制相结合的复合控制器,最后对带有摩擦的伺服系统进行了仿真实验,仿真和实验结果表明,该复合控制方案能够提高光电稳定平台的跟踪性能,验证了所提出控制方法的有效性和鲁棒性。

     

    Abstract: A self-anti-disturbance control method based on an elastoplastic friction model is proposed to address the problem of frictional nonlinear and external disturbances that affect the tracking performance of an optoelectronic stabilized platform. First, a spatial state model of a servo system based on elastoplastic friction is established. Second, the proposed elastoplastic model is used to compensate for the friction nonlinearity in the system via a feedforward method while initially suppressing the disturbance of the friction torque on the system and reducing the influence of measurement noise on the system, Third, a composite controller combining friction compensation and self-anti-disturbance control is designed based on this model. Finally, simulation experiments are performed on a servo system with friction. The simulation and experimental results show that the composite control scheme can improve the tracking performance of the photoelectrically stabilized platform. Moreover, the results verify the effectiveness and robustness of the proposed control method.

     

/

返回文章
返回