InAs/GaSb超晶格和M结构超晶格能带结构研究

Investigation of Energy Band Structures of InAs/GaSb and M Structure Superlattices

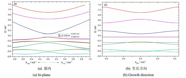
  • 摘要: 本文通过k·p方法研究了传统InAs/GaSb超晶格和M结构超晶格的能带结构。首先,计算了不同周期厚度的InAs/GaSb超晶格的能带结构,得到用于长波超晶格探测器吸收层的周期结构。然后,计算了用于超晶格长波探测器结构的M结构超晶格的能带结构,并给出长波InAs/GaSb超晶格与M结构超晶格之间的带阶。最后,基于能带结构,计算出长波超晶格与M结构超晶格的态密度,进而得出的载流子浓度(掺杂浓度)与费米能级的关系。这些材料参数可以为超晶格探测器结构设计提供基础。

     

    Abstract: In this study, the band structures of conventional InAs/GaSb and M structure super lattices are investigated using the k·p method. First, the band structures of InAs/GaSb super lattices with various period thickness are calculated, and the period structure used for a longwave super lattice detector is obtained. Subsequently, the band structure of the M structure super lattice, which is prevalently employed in longwave super lattice infrared detectors, is also calculated. The band offset between a longwave InAs/GaSb super lattice and M structure super lattice is provided. Furthermore, based on the band structures, the relationship between the carrier density (doping density) and the position of the Fermi level for longwave InAs/GaSb and M structure super lattices is obtained. This was followed by a density of states (DOS) calculation. These calculated material parameters can provide the foundation for designing super lattice infrared detectors.

     

/

返回文章
返回