红外无损检测缺陷尺寸测量方法研究

Research on Defect Size Measurement Methods for Infrared Thermography

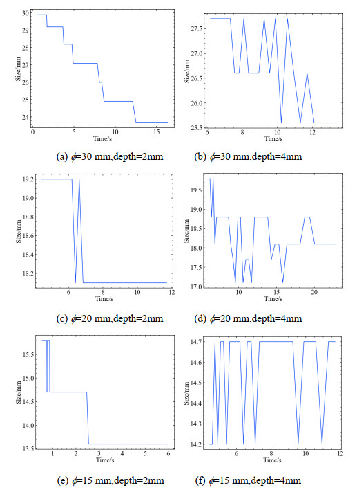
  • 摘要: 红外无损检测技术可有效检测金属、非金属、复合材料的内部缺陷,缺陷尺寸是评估缺陷影响的关键参数,本文以半宽高测量算法来实现对缺陷尺寸的半自动测量,首先手动绘制过缺陷中心的直线构成空间像素曲线,采用Savitzky-Golay滤波算法滤波,并自动寻找空间像素曲线半宽高位置,从而实现对缺陷尺寸的测量。通过对塑料试件、碳钢试件、碳纤维复合材料试件研究发现,不同时刻红外图像测量出的缺陷尺寸具有不同的误差,采用清晰时刻红外图像,测量误差在10%内,采用模糊时刻红外图像,测量误差在20%左右,相对于传统手动测量缺陷尺寸,本文方法将有效提高缺陷尺寸测量的精度。

     

    Abstract: Infrared thermography effectively detects internal defects in metals, non-metals, and composite materials. Defect size is a key parameter for evaluating the impact of defects. We used a half width height measurement algorithm to achieve semi-automatic measurement of defect size, manually drawing a straight line through the center of the defect to form a spatial pixel curve, and used the SG filtering algorithm to filter, automatically finding the half width height position of the spatial pixel curve, thus achieving defect size measurement. Through research on ABS plastic, carbon steel, and carbon fiber composite material specimens, it was found that the defect sizes measured by infrared images at different times have different errors. Using clear infrared images at different times, the measurement error was within 10%, whereas using fuzzy infrared images at different times, the measurement error was approximately 20%. This will effectively improve the accuracy of defect size measurements.

     

/

返回文章
返回