基于RPCA和LatLRR分解的红外与可见光的图像融合

Infrared and Visible Image Fusion Algorithm Based on the Decomposition of Robust Principal Component Analysis and Latent Low Rank Representation

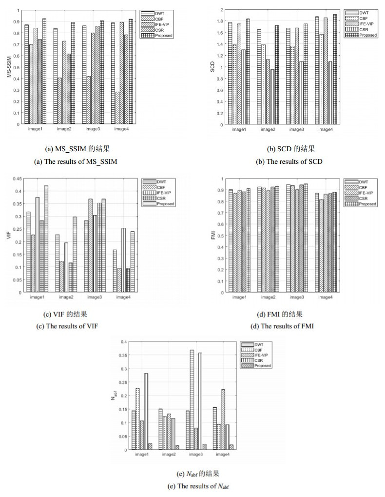
  • 摘要: 红外光和可见光图像的融合在视频监控、目标跟踪等方面发挥着越来越重要的作用。为了得到融合效果更好的图像,提出了一种新的基于鲁棒性低秩表示的图像分解与深度学习结合的方法。首先,利用鲁棒性主成分分析对训练集图像进行去噪处理,利用快速的潜在低秩表示学习提取突出特征的稀疏矩阵,并对源图像进行分解,重构形成低频图像和高频图像。然后,低频部分利用自适应加权策略进行融合,高频部分利用深度学习的VGG-19网络进行融合。最后,将新的低频图像与新的高频图像进行线性叠加,得到最后的结果。实验验证了本文提出的图像融合算法在主观评价与客观评价上均具有一定的优势。

     

    Abstract: The fusion of infrared and visible images plays an important role in video surveillance, target tracking, etc. To obtain better fusion results for images, this study proposes a novel method combining deep learning and image decomposition based on a robust low-rank representation. First, robust principal component analysis is used to denoise the training set images. Next, rapid latent low rank representation is used to learn a sparse matrix to extract salient features and decompose the source images into low-frequency and high-frequency images. The low-frequency components are then fused using an adaptive weighting strategy, and the high-frequency components are fused by a VGG-19 network. Finally, the new low-frequency image is superimposed with the new high-frequency image to obtain a fused image. Experimental results demonstrate that this method has advantages in terms of both the subjective and objective evaluation of image fusion.

     

/

返回文章
返回