宽频太赫兹非对称主副波导定向耦合器设计

Broadband Terahertz Asymmetric Primary and Secondary Waveguide Directional Coupler Design

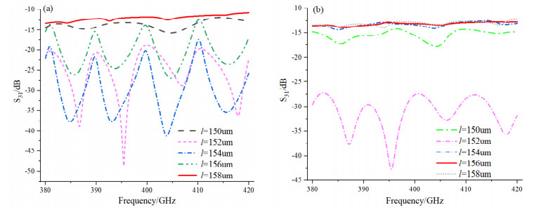
  • 摘要: 基于微型无人机雷达、精确制导武器雷达及无线通信终端设备的应用前景,设计了一种非对称主副波导定向耦合器。该耦合器采用主副波导为不同形状的等间距多孔耦合结构,将主矩形波导TE10模的信号耦合到副圆形波导TE11模中,利用相位叠加原理使得隔离端口相位达到反向相消的效果,能够得到良好的耦合度和隔离度。该耦合器中心频率为400 GHz,相对带宽为40 GHz,结果表明,定向耦合器耦合度达到-13.8~-12.8 dB,实现了弱耦合效果且耦合度稳定性较好,隔离度优于-24.5 dB,直通插入损耗为-3~-2.5 dB,性能良好。

     

    Abstract: According to the application prospects of micro drone radar, precision guided weapon radar, and wireless communication terminal equipment, an asymmetric primary and secondary waveguide directional coupler is designed. The coupler uses an equally spaced porous coupling structure with different shapes of main and secondary waveguides, and the signal of the TE10 mode of the rectangular waveguide is coupled to the TE11 mode of the secondary circular waveguide. The isolated port achieves the effect of reverse cancelation, and good coupling and isolation can be obtained using the principle of phase superposition. The center frequency of the directional coupler and the relative bandwidth are 400 and 40 GHz, respectively. The results show that the coupling degree of the directional coupler is approximately -13.8 to -12.8 dB, which achieves a weak coupling effect and has a good coupling stability. The isolation is better than -24.5 dB, the through insertion loss is approximately -3 to -2.5 dB, and the performance is good.

     

/

返回文章
返回