基于卷积自编码的fNIRS信号运动校正算法研究

fNIRS Signal Motion Correction Algorithm Based on Convolutional Self-Coding

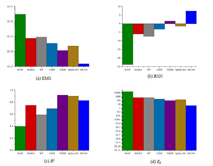
  • 摘要: 功能性近红外光谱技术(functional near-infrared spectroscopy,fNIRS)作为一种高时间分辨率、成本低廉、便携性高的脑成像系统,近年来深受脑神经科学等研究领域的关注。但fNIRS信号中的运动伪迹会干扰后期数据分析的结果,且现有的一些算法去噪效果较为单一。因此,本文提出了一种基于多层卷积自编码的fNIRS信号运动伪迹校正算法——MCAN算法,并使用该算法对fNIRS信号中的3种运动伪迹进行校正;然后用仿真数据和实验数据对所提算法的性能进行验证,将其与现有的几种常用算法进行对比,结果表明:MCAN算法在剩余运动伪迹数量、均方误差、信噪比、皮尔逊相关系数的平方、峰峰误差几种指标上表现良好,说明所提算法可作为一种全新的fNIRS信号预处理算法。

     

    Abstract: Functional near-infrared spectroscopy (fNIRS) has attracted considerable attention in recent years in brain neuroscience as a brain imaging system with high temporal resolution, low cost, and high portability. However, motion artifacts in fNIRS signals interfere with the results of subsequent data analysis, and the denoising effect of some existing algorithms is insufficient. Therefore, a motion artifact correction algorithm for fNIRS signals based on a multilayer convolutional self-coding (MCAN) algorithm is proposed. The algorithm was used to correct three motion artifacts in the fNIRS signals. Next, the performance of the proposed algorithm was verified using simulation and experimental data and compared with several widely used algorithms. The results show that the MCAN algorithm performs satisfactorily in the remaining number of motion pseudo-traces, mean squared error, signal-to-noise ratio, square of Pearson correlation coefficient, and peak-to-peak error. Therefore, the proposed algorithm can be used as an efficient fNIRS signal preprocessing algorithm.

     

/

返回文章
返回