非线性曲线拟合在反射式持续热激励红外热像检测的应用

Nonlinear Data Fitting for Reflective Continuous Heat Excited Thermography Testing

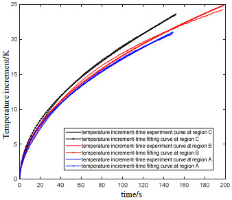
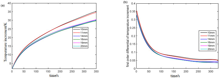
  • 摘要: 为了在反射式持续热激励红外热像技术中对缺陷深度进行定量检测,基于实际情况建立了持续热激励下被检物内的热传导模型,并求解了被检物热激励面上的温差-时间关系。通过对求解出的温差-时间关系的分析,发现实际检测时取热激励面温差-时间数据依照所求解出的关系进行非线性曲线拟合,可测量缺陷的深度。为了检验方法的可行性,利用风电叶片玻璃钢制作了平底洞试件,并对平底洞试件进行了检测实验。实验表明,本文方法对缺陷深度具有较高的测量精度。

     

    Abstract: To quantitatively detect defects using reflective continuous-heat-excited thermography, a heat conduction model of an object under continuous heat excitation was established, and the temperature increment-time relationship on the thermal excitation surface of the object was derived. Based on an analysis of the temperature increment-time relationship on the thermal excitation surface, the depth of the defects could be measured by nonlinear fitting of the temperature increment-time data. To test the feasibility of this method, a GFRP flat-bottomed hole specimen was fabricated and analyzed using reflective continuous-heat-excited thermography. The results show that this method is highly accurate in measuring the depth of defects.

     

/

返回文章
返回