基于趋势分析法的虚焊缺陷热像数据处理技术

Thermal Image Data Processing Technology of Pseudo Soldering Based on Trend Analyzing

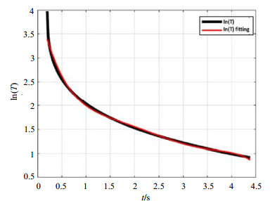
  • 摘要: 针对现有检测手段难以解决的外观正常、又有电气连接的电子产品虚焊类缺陷的问题,本文采用脉冲红外热像检测方法获取温度数据,引入趋势分析法建立了虚焊类缺陷热像数据拟合曲线特征参量与不同虚焊程度缺陷之间的对应关系,成功解决了过余温度信号中难以辨识背景噪声和焊点缺陷信号的问题,提高了热像信号的分辨率和信噪比。

     

    Abstract: Pseudo soldering with a normal appearance and electrical connections cannot be effectively detected by the existing detection technology. Pulse infrared detection technology was applied, and the trend that analyzes processes was adopted to establish the relationship between the degree of pseudo soldering and characteristic parameters of the infrared fitting curve. It is difficult to distinguish the background noise, and the signal of the pseudo soldering from excess temperature was successfully resolved. Results show that the resolution and signal-to-noise ratio were improved.

     

/

返回文章
返回