机载红外平台下空中目标三维运动估计方法

A 3D Motion Estimation Method of Aerial Targets for Airborne IR Platforms

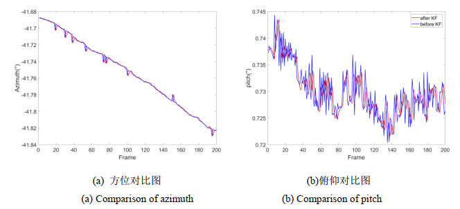
  • 摘要: 空中目标运动状态的自由度更高,目标的运动状态更难获知。现有的方法聚焦于二维空间(方位、俯仰)相对运动轨迹估算,忽略了侦查平台自身姿态变化对目标运动轨迹估算的干扰,难以直接应用于机载红外平台应用。针对该问题,本文提出一种机载红外平台下空中目标三维运动估计方法,测算目标在北西天坐标系下各向的运动状态。为提升目标位置估算的精度,本方法引入了目标距离信息,及侦查平台的自身姿态信息,提升红外目标运动状态估计的抗干扰性。本文方法首先采用基于TLD和卡尔曼滤波的目标跟踪模块,采用先检测后跟踪的策略,同时采用卡尔曼滤波缓解目标质心抖动对目标位置估算精度的影响;其次提出长短时策略距离预测模块,用于预测补充激光测距器未获取到的目标距离信息;最后通过基于先验信息的空中目标运动估计模块,获取目标在北西天坐标系下各向的运动状态,实现对空中目标三维运动信息估计。在已知空中目标三维运动信息条件下,通过本文方法可以反向解算目标在当前侦查系统的二维空间信息。实验结果表明,本方法目标距离预测结果误差小于50 m,参考坐标系下北西天各向速度误差小于25 m/s,当侦查系统姿态角发生变化时,本文方法对目标跟踪的稳定性优于卡尔曼滤波。

     

    Abstract: The degrees of freedom in the motion state of aerial targets are higher, and the target motion state is more difficult to obtain. Existing methods focus on estimating the relative motion trajectory in two-dimensional space (azimuth and pitch), ignoring the interference of the reconnaissance platform's own attitude changes on the target's motion trajectory estimation, making direct application to airborne IR platform applications difficult. To address this problem, this study proposes a three-dimensional (3D) motion estimation method for airborne targets under an airborne IR platform to measure the target's motion status in all directions in the coordinate system of the northwest sky. To improve the accuracy of the target position estimation, this method introduces the target distance and the attitude of the detection platform to enhance the anti-interference performance of the IR target motion state estimation. Our method first uses a target-tracking module based on the TLD and a Kalman filter utilizing a detection-based tracking strategy. The Kalman filter is employed to alleviate the effects of target centroid jitter on the target position estimation accuracy. Second, a long-short strategic distance prediction module is proposed to supplement the target distance information not obtained by the laser rangefinder. Finally, the motion status of the target in each direction in the northwest-sky coordinate system is obtained using the aerial target motion estimation module based on prior information. Under the condition that the 3D motion information of the aerial target is known, the 2D spatial information of the target in the current reconnaissance system can be solved in reverse using this method. Experimental results show that the error in the target distance prediction result of this method is less than 50 m, and the velocity error of the northwest-sky coordinate system is less than 25 m/s. When the attitude angle of the detection system is changed, the target-tracking stability of this method is better than that of the Kalman filter.

     

/

返回文章
返回