矩量法计算烟幕粒子的红外消光特性

Infrared Extinction Calculations of Smokescreen Particles by Moment Method

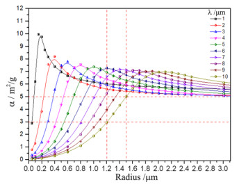
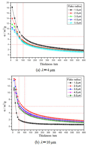
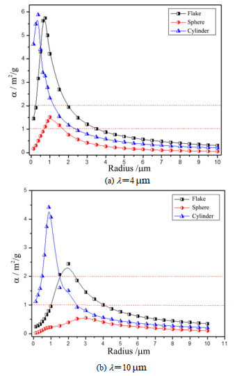
  • 摘要: 基于矩量法建立了旋转体烟幕粒子的红外消光模型,对圆片、等效球体和等效柱体等形状的石墨粒子进行了消光性能计算,研究了形状、尺寸、厚度等参数对粒子红外消光能力的影响。计算结果表明,小尺寸粒子以吸收消光为主,大尺寸粒子以散射消光为主;圆片形状的粒子具有最佳的红外消光能力,厚度变小时,圆片粒子对红外的消光能力显著升高;半径在1.5~2.1 μm范围内时,100 nm厚度的圆片对1~10 μm范围的红外消光系数均大于5.0 m2/g,在整个红外波段范围内都表现出良好的消光性能。

     

    Abstract: A moment-method-based infrared extinction model of rotating smokescreen particles is applied to perform calculations entailing three graphite particles including flakes, spheres, and cylinders, mainly focusing on the relationship between extinction ability and particle parameters, such as shape, diameter, and thickness. The calculations suggest that extinction is attributed to absorption when the particle size is small and attributed to scattering when the particle size is large. Flakes exhibit the best infrared extinction performance. When flakes become thinner, their extinction abilities are enhanced. Flakes with 100 nm thickness and 1.5–2.1 μm radius exhibit outstanding extinction performance in the 1–10 μm infrared wavelength range, with an average infrared extinction coefficient as high as 5.0 m2/g.

     

/

返回文章
返回