基于NSST-DWT-ICSAPCNN的多模态图像融合算法

Multi-modality Image Fusion Algorithm Based on NSST-DWT-ICSAPCNN

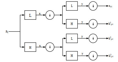
  • 摘要: 为了增加融合图像的信息量,结合非下采样剪切波变换(Non-Subsampled Shearlet Transform, NSST)和离散小波变换(Discrete Wavelet Transform, DWT)的互补优势,提出了改进的多模态图像融合方法。采用NSST对两幅源图像进行多尺度、多方向的分解,得到相应的高频子带和低频子带;利用DWT将低频子带进一步分解为低频能量子带和低频细节子带,并利用最大值选择规则融合能量子带;采用改进连接强度的自适应脉冲耦合神经网络(Improved Connection Strength Adaptive Pulse Coupled Neural Network, ICSAPCNN)分别融合细节子带和高频子带,并对能量子带和细节子带进行DWT逆变换,得到融合的低频子带;采用NSST逆变换重构出细节信息丰富的融合图像。实验证明,提出的算法在主观视觉和客观评价方面均优于其他几种算法,且能同时适用于红外与可见光源图像、医学源图像的融合。

     

    Abstract: To increase the information of the fused image, this paper proposes an improved multi-modality image fusion algorithm that combines the complementary advantages of the non-subsampled shearlet transform (NSST) and discrete wavelet transform (DWT). NSST was used to decompose the two source images in multiscale and multi-direction to obtain the corresponding high-frequency and low-frequency sub-bands. The low-frequency sub-bands were further decomposed into low-frequency energy sub-bands and low-frequency detail sub-bands by the DWT, and the low-frequency energy sub-bands were fused by the maximum selection rules. An adaptive pulse-coupled neural network with improved connection strength (ICSAPCNN) was used to fuse the detailed sub-bands and high-frequency sub-bands, and the energy sub-bands and detailed sub-bands were fused by inverse DWT to obtain the fused low-frequency sub-bands. The NSST inverse transform was used to reconstruct the fusion image with rich details. The experimental results verified that the proposed algorithm is superior to the other algorithms in both subjective vision and objective evaluation and can be applied to the fusion of both infrared and visible source images and medical source images.

     

/

返回文章
返回